Ответы
Ответ дал:
0
Ответ:
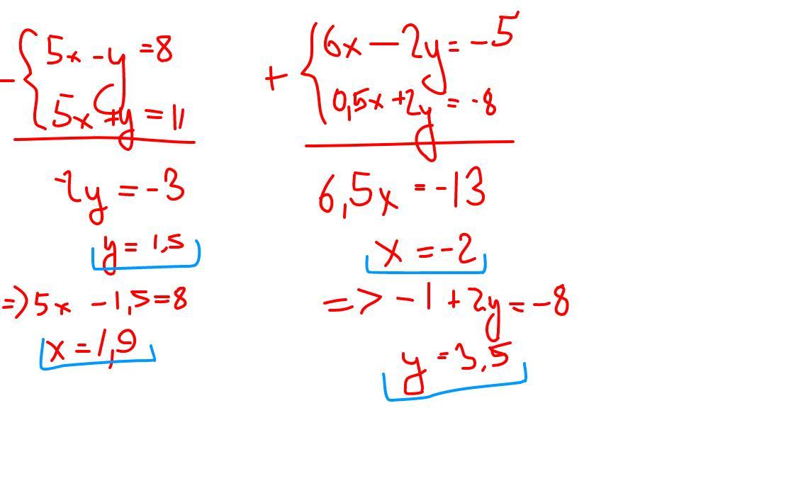
б) Ответ : (1,9 ; 1,5)
в) Ответ : (-2 ; 3,5)
Объяснение:
Приложения:

Ответ дал:
0
надеюсь поймёшь, вот решения
Приложения:


Вас заинтересует
2 года назад
2 года назад
3 года назад
3 года назад
8 лет назад
9 лет назад
9 лет назад