• Предмет: Математика
  • Автор: rfddf
  • Вопрос задан 8 лет назад

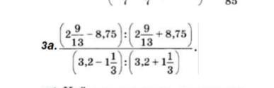
помогите !!!!!!!!11 напишите пожалуйста с пояснением. даю 35 баллов

Приложения:

Ответы

Ответ дал: muguyevruslan10
0

Ответ:

 frac{( - 6frac{3}{52}) div 11 frac{23}{52}  }{1 frac{13}{15}  div 4 frac{8}{15} }  =  frac{( -  frac{9}{17}) }{ frac{7}{17} } =  - 1 frac{2}{7}

вот ответ

Ответ дал: rfddf
0
пример вообще не тот
Ответ дал: muguyevruslan10
0
не просто я разу решать начал
Вас заинтересует