• Предмет: Математика
  • Автор: DmitrichPetrov06
  • Вопрос задан 8 лет назад

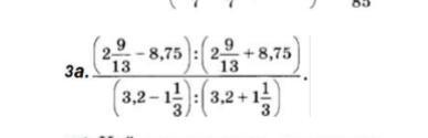
ХЕЛП СРОЧНО!ДАМ 35 БАЛЛОВ!РАЗВЕРНУТЫЙ ОТВЕТ!

Приложения:

Ответы

Ответ дал: Pelmeshka83
0

Ответ:

Пошаговое объяснение:

Приложения:
Вас заинтересует