• Предмет: Алгебра
  • Автор: Родомир
  • Вопрос задан 11 лет назад

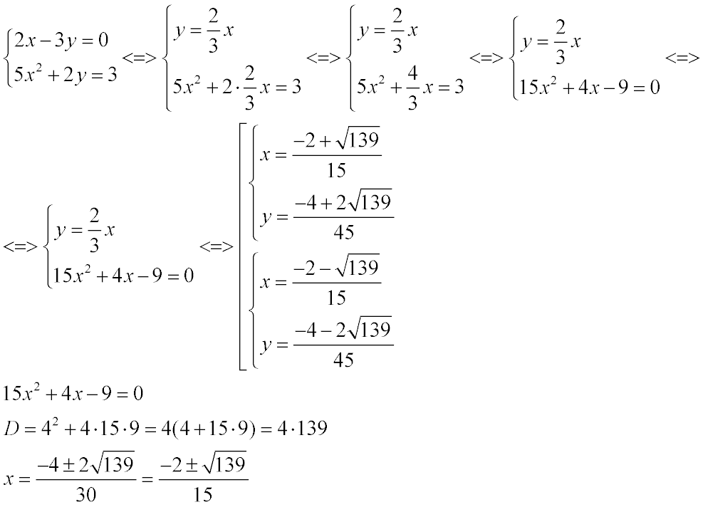
Даю 25 баллов.Решите систему уравнений
2x-3y=0
5x^2+2y=3

Приложения:

Ответы

Ответ дал: milanamo
0
1. 2*x + 3*y = 15;
 2. x2 + y2 = 4;
 3. x*y = -1;
 4. 5*x3 + y2 = 8.
Ответ дал: Tangodown
0
Почему-то корни в ответе плохие.
Приложения:
Вас заинтересует