Помогте сроочно решить.
Рівняння швидкості руху тіла, маса якого 1 кг, має вид:
υ x = 10 + 0,5t. Визначте імпульси тіла в початковий момент часу і в момент часу
t 1 = 10 с.
Ответы
Ответ:
Р= 10 кг*м/с ( в нульовий момент часу)
Р= 5 кг*м/с ( через 10 сек)
Объяснение:
Імпульс тіла визначається за формулою:
Р=mV
Нам потрібно визначити швидкість та прискорення з рівняння
υ x = 10 + 0,5t.
В нульовий момент відліку час у нас = нуль. Просто підставляємо в формулу час (t) = 0
υ x = 10 + 0,5 * 0
υ x = 10 м/с
Підставляємо в формулу імпульса відомі дані Р=mV
Р= 1 кг * 10 м/с
Р= 10 кг*м/с
А от через 10 секунд все уже цікавіше.
Швидкість у нас змінюється по формулі υ x = 10 + 0,5t, а люба зміна швидкості - це уже прискорення.
Прискорення - це похідна від швидкості. Математично це записується так:
а = (10 + 0,5t) '
а = (0 + 0,5) = 0,5 м/сек в квадраті.
Швидкість в любий час визначається по формулі:
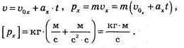
v = v(нульове) + а * t (подивіться на фото,там ясніше видно формули)
Підставляємо числа:
v = 0 + 0,5 * 10
v = 5 м/с
Знаходимо імпульс в цей час (10 сек):
Р=mV,
Р= 1 кг* 5 м/с
Р= 5 кг*м/с

