• Предмет: Алгебра
  • Автор: fwefgerh
  • Вопрос задан 8 лет назад

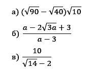
Упростите выражения. В пункте «а» получите числовое значение; в п. «б» − сократите дробь; в п. «в» − избавьтесь от иррациональности в знаменателе:
a) (√90-√40)√10
б) a-2√3a+3 / a-3
в) 10 / √14-2

Приложения:

Ответы

Ответ дал: user256300814
0

1. упростим корень

(3 sqrt{10}  - 2 sqrt{10} ) sqrt{10}  =  sqrt{10}  times  sqrt{10} = 10

2.разложить на множетели

 frac{( sqrt{a} -  sqrt{3} ) {}^{2} }{ (sqrt{a} -  sqrt{3})( sqrt{a} +  sqrt{3})    }  =  frac{ sqrt{a} -  sqrt{3}  }{ sqrt{a} +  sqrt{3}  }

3.умножаем на дробь

 frac{10}{ sqrt{14}  - 2}  times  frac{ sqrt{14} + 2 }{ sqrt{14} + 2 }  =  frac{10( sqrt{14}  + 2)}{14 - 4}  =  sqrt{14}   + 2

Вас заинтересует