• Предмет: Алгебра
  • Автор: bigbocse
  • Вопрос задан 8 лет назад

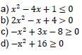
Укажите соответствующий вывод для каждого неравенства.
Обоснуйте свой ответ.
1. Неравенство не имеет решений.
2. Решением неравенства является вся числовая прямая.
3. Решением неравенства является одна точка.
4. Решением неравенства является закрытый промежуток.
5. Решением неравенства является открытый промежуток.
6. Решением неравенства является объединение двух промежутков

Приложения:

Ответа на этот вопрос пока нет. Попробуйте найти его через форму поиска.

Вас заинтересует