• Предмет: Алгебра
  • Автор: xBrokenSanity
  • Вопрос задан 8 лет назад

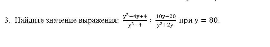
Помогите!!!!Алгебра​

Приложения:

Ответы

Ответ дал: ant20202020
0

((у²-4у+4)/(у²-4)):((10у-20)/(у²+2у))=((у-2)²*у*(у+2))/((у-2)*(у+2)*10(у-2))=у/10

при у=80 получим  у/10=80/10=8

Ответ дал: NNNLLL54
0

y=80\\dfrac{y^2-4y+4}{y^2-4}:dfrac{10y-20}{y^2+2y}=dfrac{(y-2)^2}{(y-2)(y+2)}:dfrac{10(y-2)}{y(y+2)}=\\\=dfrac{y-2}{y+2}cdot dfrac{y, (y+2)}{10, (y-2)}=dfrac{y}{10}=dfrac{80}{10}=8

Вас заинтересует