• Предмет: Алгебра
  • Автор: lld35lld3514663
  • Вопрос задан 8 лет назад

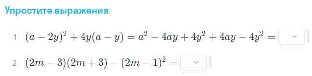
Помогите пожалуйста!

Приложения:

Ответы

Ответ дал: alinaprivet1712
0

Ответ:

1. а2 + 4у2 - 4у2 = а2

2. 4м2 - 9 - (4м2 - 4м + 1) = 4м2 - 9 - 4м2 + 4м - 1 = -9 + 4м - 1 = -10 + 4м

Вас заинтересует