• Предмет: Алгебра
  • Автор: olausmugina
  • Вопрос задан 8 лет назад

помогите пожалуйста
нужно очень срочно!!!​

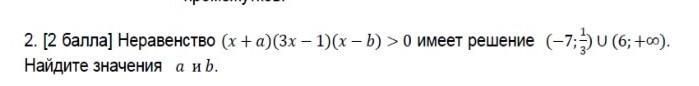
Приложения:

Ответы

Ответ дал: altairkaliyev
0

Photomath скачать там все решения.

Вас заинтересует