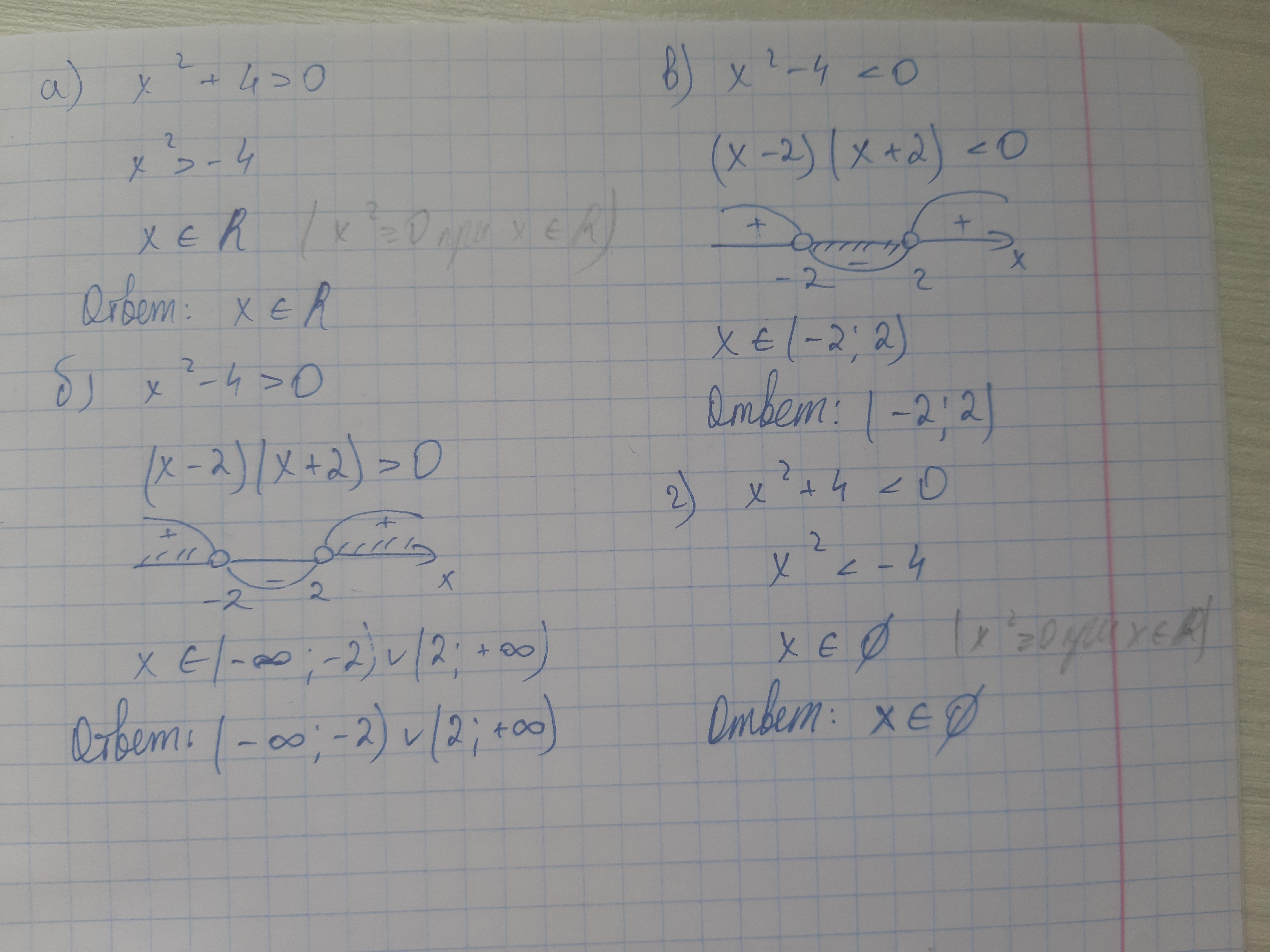
Для каждого неравенство укажете множество его решений
а) x^2 +4 >0
б) x^2 - 4>0
в) x^2-4 <0
г) x^2 + 4<0
Помогите пожалуйста ❤
Ответы
Ответ дал:
0
Ответ: на фото
Объяснение:
Карандашом это просто пояснил почему так
Приложения:

Ответ дал:
0
господи да чем же вам помочь?????
Вас заинтересует
2 года назад
3 года назад
3 года назад
8 лет назад
9 лет назад
9 лет назад