• Предмет: Алгебра
  • Автор: RuslanLokhmatov
  • Вопрос задан 8 лет назад

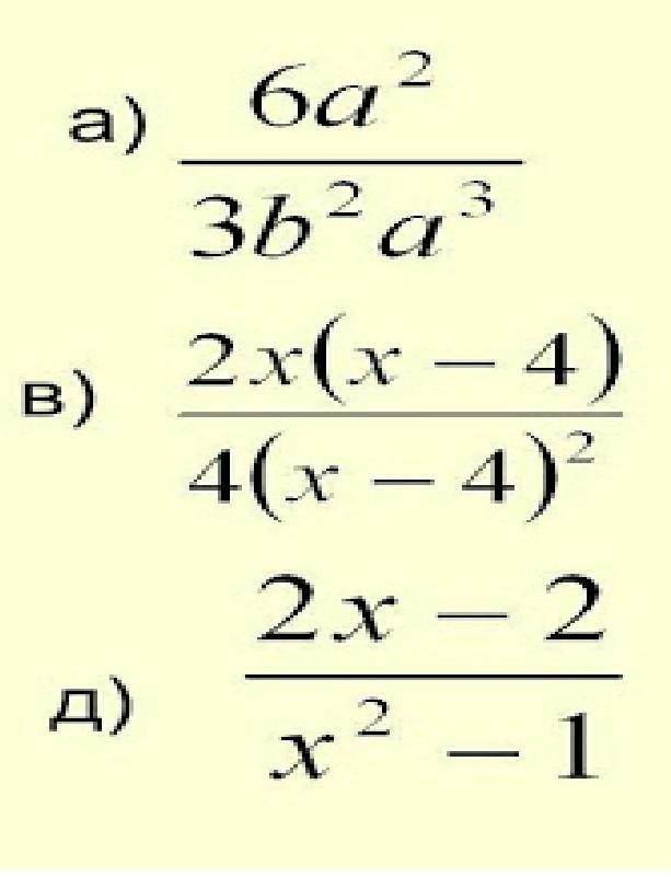
Сократить дроби. Выполнять умножение и деление алгебраических дробей.​

Приложения:

Ответы

Ответ дал: ИрИшКа17102003
0

Ответ:

  • А) 6/3b^2a
  • В) 2х/4(х-4)=2х/4х-16
  • Д)2(х-1)/(х-1)(х+1)=2/х+1

Вас заинтересует