• Предмет: Алгебра
  • Автор: Bloger005
  • Вопрос задан 8 лет назад

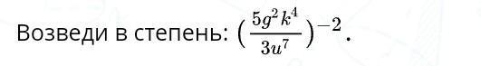
Возведите в степень! Можно пожалуйста с решением!​

Приложения:

Ответы

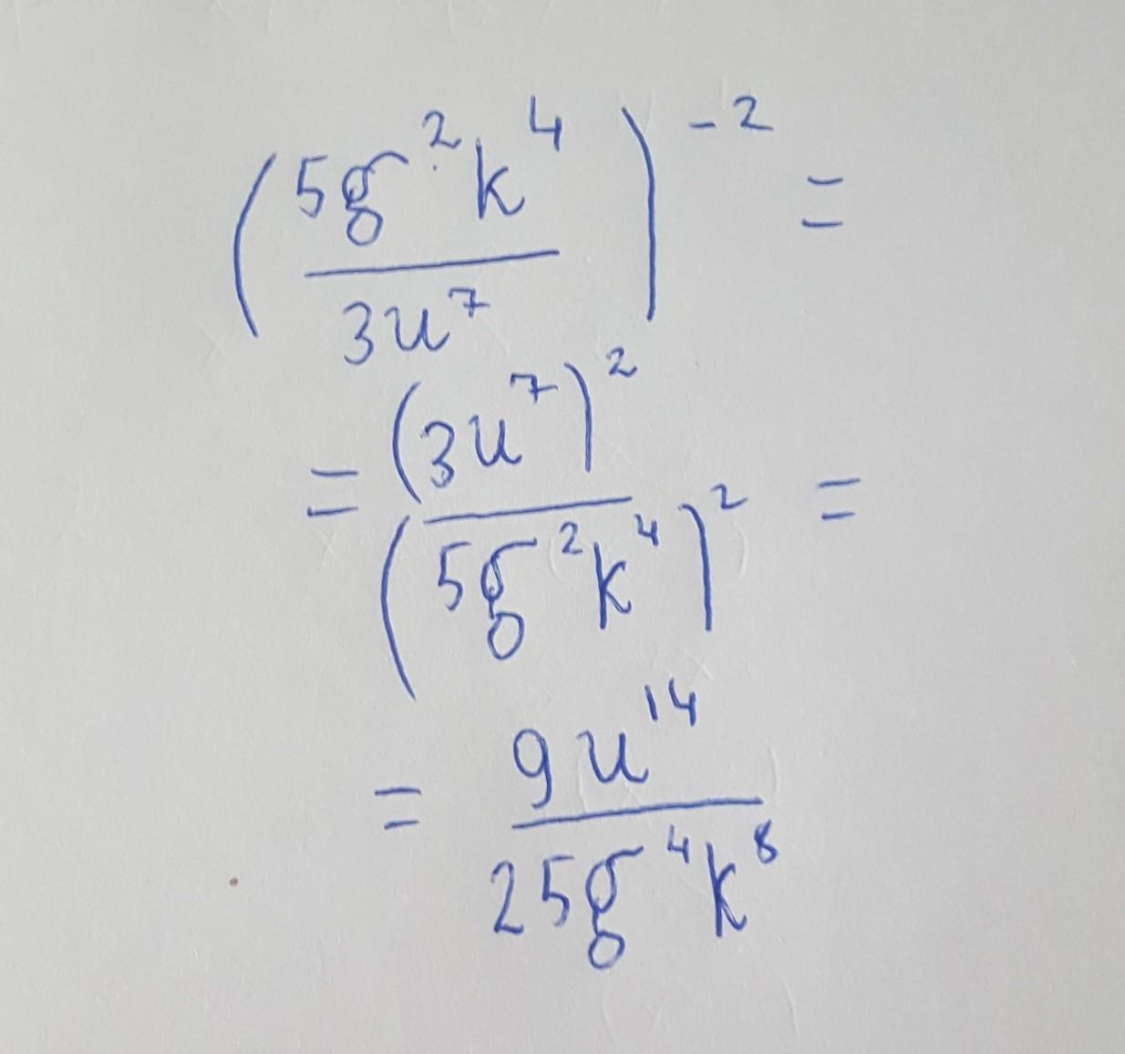
Ответ дал: WSVR
0

Решение на фотографии!!!!!!!

Приложения:
Вас заинтересует