Ответы
Ответ дал:
0
Ответ:
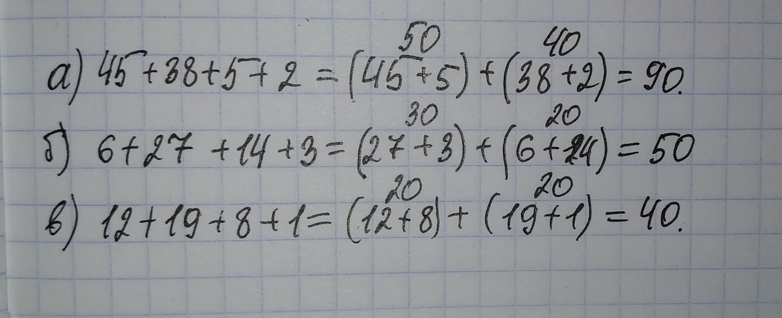
1) (45+5)+(38+2)=50+40=90
2) (6+14)+(27+3)=20+30=50
3) (12+8)+(19+1)=20+20=40
Пошаговое объяснение:
(45+5)+(38+2)=90
(6+14)+(27+3)=50
(19+16)+(12+8)=40
Ответ дал:
0
Решение во вложении. Надеюсь, всё предельно понятно)
Приложения:

Вас заинтересует
2 года назад
2 года назад
3 года назад
8 лет назад
9 лет назад