• Предмет: Геометрия
  • Автор: Бамбулби12
  • Вопрос задан 8 лет назад

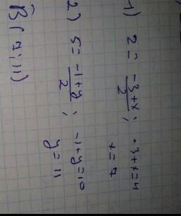
Найдите координаты середины отрезка АВ, если А(5, -3), В(1, 1)

Ответы

Ответ дал: ryltsovaana
0

на держи ,,,,,,,,,,,,,,,,,,,,,,,,

Приложения:
Ответ дал: Бамбулби12
0
это АВ?
Ответ дал: sultmult
0

x0=(5+1)/2=3

y0=(-3+1)/2=-1

O-середина отрезка

O(3;-1)

Приложения:
Вас заинтересует