• Предмет: Алгебра
  • Автор: help1491
  • Вопрос задан 8 лет назад

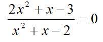
Знайдіть корені рівняння

Приложения:

Ответа на этот вопрос пока нет. Попробуйте найти его через форму поиска.

Вас заинтересует