• Предмет: Алгебра
  • Автор: ViLlo4kA
  • Вопрос задан 8 лет назад

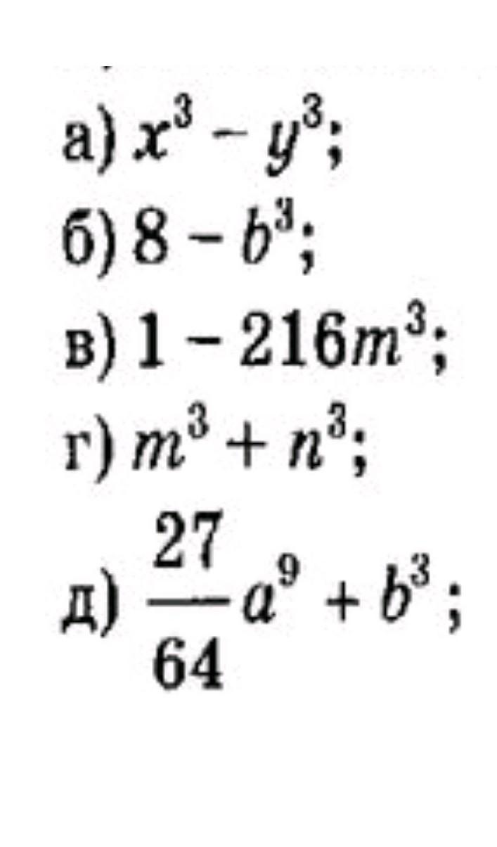
Помогите пожалуйста срочно!


Фото в верху

Приложения:

Ответа на этот вопрос пока нет. Попробуйте найти его через форму поиска.

Вас заинтересует