• Предмет: Алгебра
  • Автор: leskokata09
  • Вопрос задан 8 лет назад

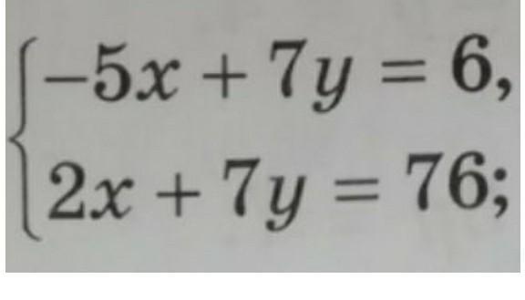
решите систему уравнений способом сложения 7 класс​

Приложения:

Ответа на этот вопрос пока нет. Попробуйте найти его через форму поиска.

Вас заинтересует