• Предмет: Математика
  • Автор: nada150
  • Вопрос задан 8 лет назад

срочно через 30 минут удалю

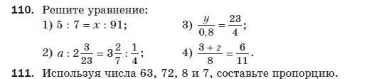
Приложения:

Ответы

Ответ дал: elizabethshevyakova0
0

Пошаговое объяснение:

Как-то так,насчёт последнего...... Я не знаю

Приложения:
Вас заинтересует