• Предмет: Алгебра
  • Автор: maslenikovalaodika
  • Вопрос задан 8 лет назад

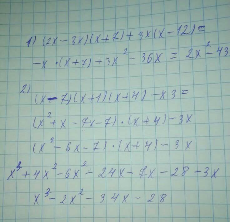
Упростите выражение:
1) (2x – 3)(x + 7) + 3x(x – 12);
2) (x – 7)(x + 1)(x + 4) – x3

Ответы

Ответ дал: birzankerdyrbek670
0

Ответ:

вот и ответ на фото ....

Приложения:
Вас заинтересует