• Предмет: Алгебра
  • Автор: d1ri
  • Вопрос задан 8 лет назад

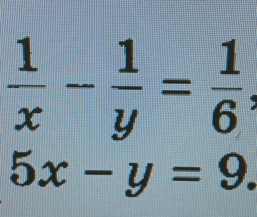
решите систему уравнений. ​

Приложения:

Ответы

Ответ дал: simakot792
0

Ответ:

(3,6;9),(3;6)

Объяснение:

Вррде все понятно

Приложения:
Вас заинтересует