СРОЧНО ПЛЗ!!!
1)Найдите допустимые значения переменной х-3.5/18-9х
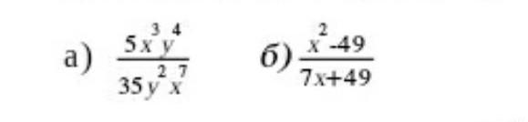
2)Сократите дробь (фото прилагается)
Приложения:
Ответа на этот вопрос пока нет. Попробуйте найти его через форму поиска.
Вас заинтересует
2 года назад
2 года назад
3 года назад
3 года назад
9 лет назад
9 лет назад
10 лет назад