Ответы
решние во вложении***********============******

https://znanija.com/task/36501861
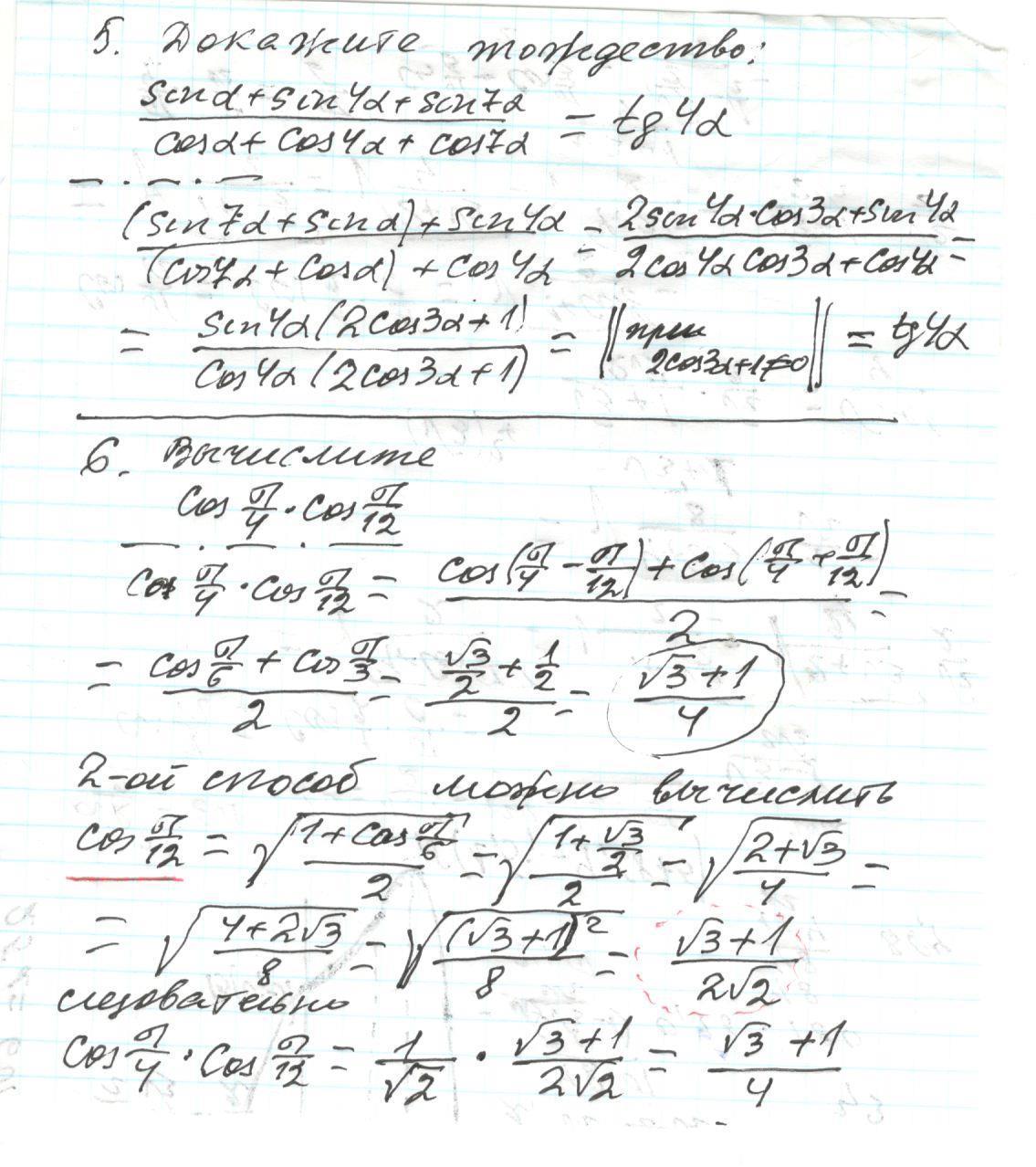
5. Докажите тождество:
(sinα + sin4α +sin7α) / (cosα +cos4α +cos7α) =tg4α
* * * sinα +sinβ =2sin(α + β)/2 *cos(α - β) /2
* * * cosα +cosβ =2cos(α + β)/2 *cos(α - β)/2
( (sin7α +sinα) + sin4α ) / ( (cos7α +cosα )+cos4α ) =
=( 2sin4α *cos3α + sin4α ) / ( 2cos4α *cos3α +cos4α ) =
= ( sin4α (2cos3α + 1 ) / ( cos4α(2cos3α +1 ) = sin4α / cos4α = tg4α
- - - - - - -
6. Вычислите :
cos(π/4)*cos(π/12)
* * * cosα*cosβ = ( cos(α - β) +cos(α + β) ) / 2 * * *
cos(π/4)*cos(π/12) = ( cos(π/4 - π/12) +cos( π/4 + π/12) ) / 2 =
( cos(π/6)+cos( π/3) ) / 2 = (√3 /2 +1/2 ) / 2 = (√3+1 ) / 4 .
- - - - - - -
2-ой способ: Можно вычислить cos(π/12)
* * * cos(α/2) = ± √ ( (1 +cosα) /2 ) || π/12 = (π/6) / 2 , cos(π/12) > 0 || * * *
cos(π/12) = cos( (π/6) /2 ) = √( ( 1+cos(π/6) ) /2 ) =√( (1+√3 /2) / 2 ) =
√( (2+√3 )/ 4 ) =√( (4+2√3 )/ 8 ) = √( (√3+1 )²/ 8 ) = (√3+1) /2√2
cos(π/4)*cos(π/12) = (1/√2) * (√3+1) /2√2 = (√3+1 ) / 4
P.S. лучше смотрите на бумаге
