• Предмет: Алгебра
  • Автор: lubovzaluzhets68y311
  • Вопрос задан 8 лет назад

Укажіть пару чисел, яка є одним із розв'язків рівняння 7х-2у=-1.

Ответы

Ответ дал: ViktoriaPobloki
0

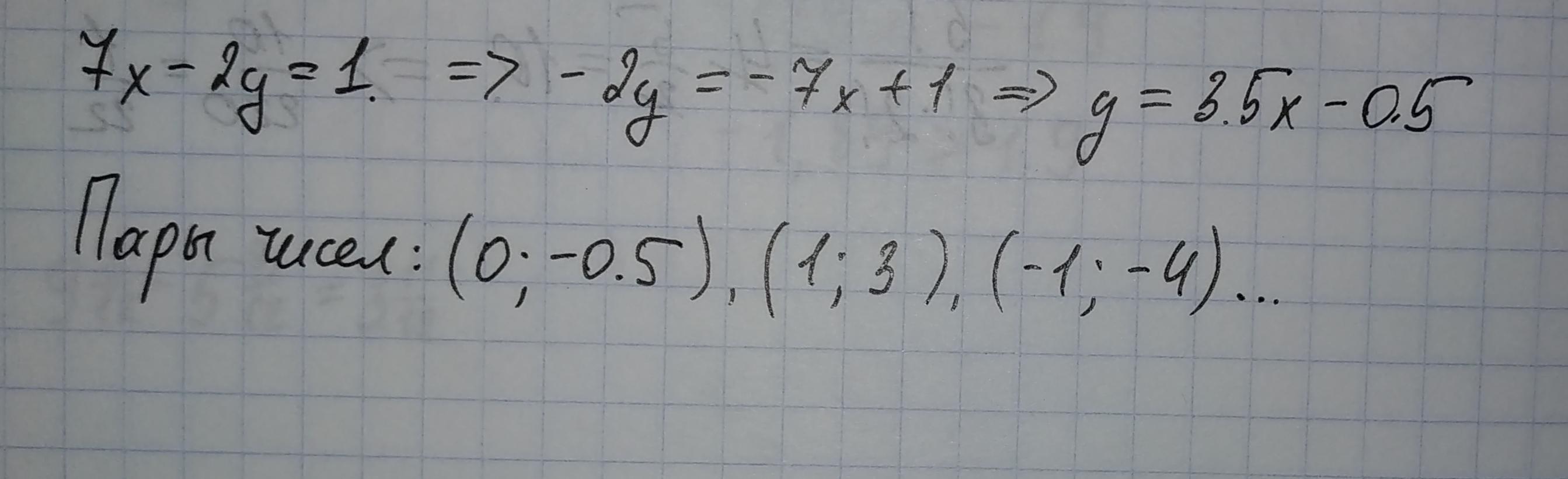
Решение во вложении. Надеюсь, всё предельно понятно)

Приложения:
Ответ дал: kaoaoaoaoaoaoao
0

7x-2y=-1

7x-2y+1=-1+1

7x-2y+1=0

Приложения:
Вас заинтересует