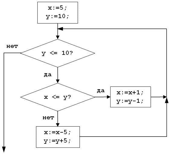
1. Определите значения переменной «x» после выполнения фрагмента алгоритма.
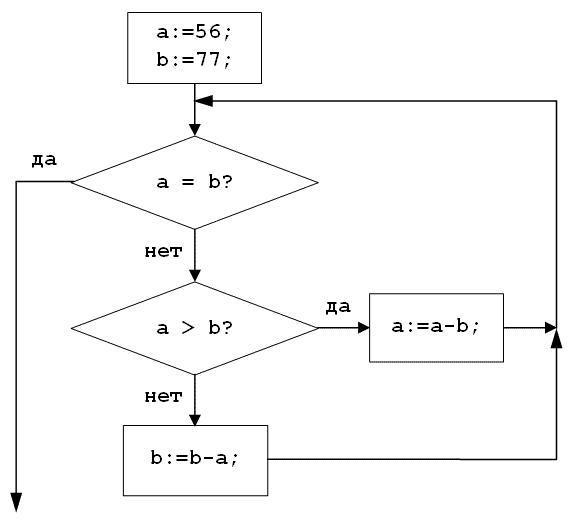
2. Определите значение переменной «b» после выполнения фрагмента алгоритма.
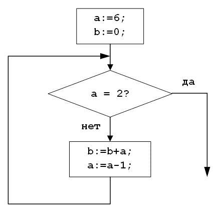
3. Определите значение переменной «b» после выполнения фрагмента алгоритма.
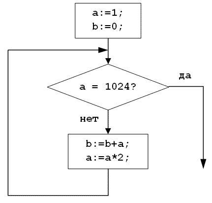
4. Определите значение переменной «b» после выполнения фрагмента алгоритма.
5. Определите значения переменной «a» после выполнения фрагмента алгоритма.
6. Определите значение переменной «b» после выполнения фрагмента алгоритма.
7. Определите значение переменной «a» после выполнения фрагмента алгоритма.
Все изображения идут по порядку вопросов
Приложения:
Ответа на этот вопрос пока нет. Попробуйте найти его через форму поиска.
Вас заинтересует
2 года назад
2 года назад
3 года назад
3 года назад
9 лет назад
9 лет назад
10 лет назад
10 лет назад