• Предмет: Алгебра
  • Автор: yevgeniyivanov99
  • Вопрос задан 8 лет назад

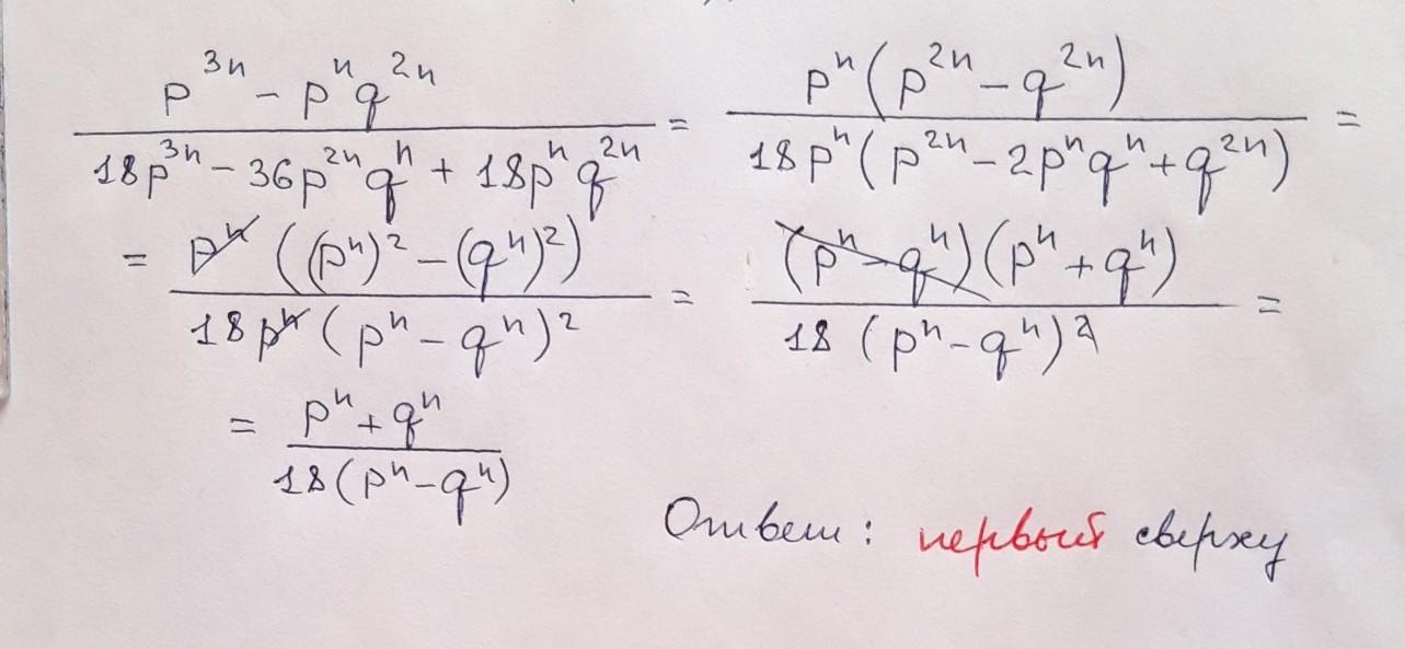
срочно!!!!!!!!!!!!!!!!!!!!!!

Приложения:

Ответы

Ответ дал: sharofat0
0

Ответ:

Рациональные дроби...

Приложения:
Вас заинтересует