• Предмет: Алгебра
  • Автор: antoshin6
  • Вопрос задан 8 лет назад

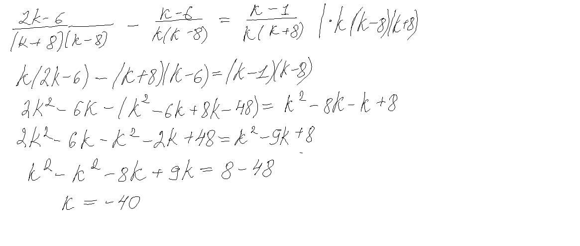
2k-6/k^2-64 - k-6/k^2-8k= k-1/k^2+8k

Нуждаюсь в помощи; дам баллы! ​

Ответы

Ответ дал: kalinintalin
0

Ответ:

k=-40

Объяснение:

Приложения:
Вас заинтересует