• Предмет: Математика
  • Автор: strajhermarius
  • Вопрос задан 8 лет назад

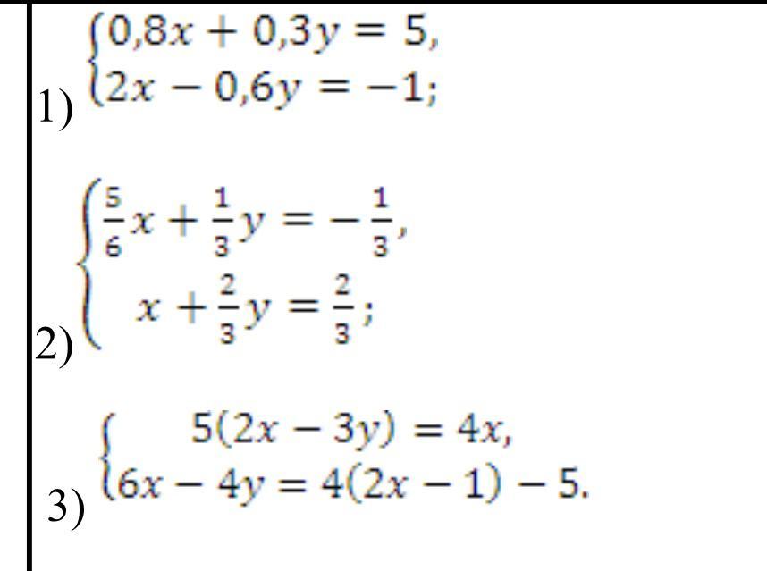
Срочно! Даю 20 баллов! Заранее благодарю.

Приложения:

Ответа на этот вопрос пока нет. Попробуйте найти его через форму поиска.

Вас заинтересует