Ответы
Ответ дал:
0
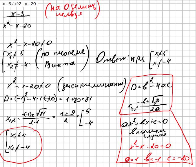
Ответ:
при x≠5; x≠-4
Объяснение:
Приложения:

Ответ дал:
0
а по не по теореме виета можно решить?
Вас заинтересует
2 года назад
3 года назад
3 года назад
8 лет назад
8 лет назад
9 лет назад