• Предмет: Математика
  • Автор: Ramilbayanasov17
  • Вопрос задан 8 лет назад

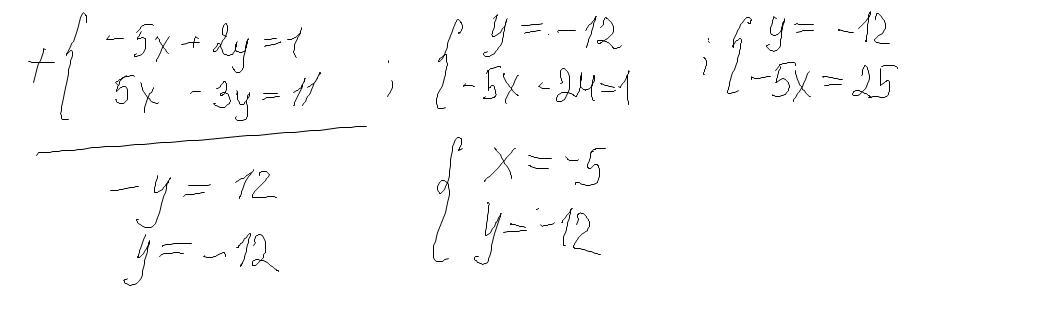
решите систему уравнений любым способом -5х+2у=1 5х-3у=11​

Ответы

Ответ дал: kalinintalin
0

Ответ:

x=-5, y=-12

Пошаговое объяснение:

Приложения:
Вас заинтересует