• Предмет: Алгебра
  • Автор: svatojtapok004
  • Вопрос задан 8 лет назад

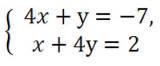
решите систему способом подстановки

Приложения:

Ответы

Ответ дал: svlad9383
0

Возьмем 1е уравнение и выразим из него у:

у= -7-4х ;

Подставляем 1е уравнение во 2е вместо у:

х+4(-7-4х)=2

х-28-16х=2

-15х=30

х= -2

Возвращаемся в 1е и подставляем полученное число вместо х:

у= -7-4*(-2)=1

Ответ : (-2;1)

Ответ дал: Alina3989
0

Ответ: x=-2,y=1

Объяснение:

left { {{4x+y=-7} atop {x+4y=2}} right. => y=-7-4x (подставляем во второе)

=>x+4(-7-4x)=2     x-28-16x=2    -15x=30   x=-2  (подставляем снова в первое)  y=-7-4*(-2)=-7+8=1

Проверка:

4*(-2)+1=-7

-8+1=-7

-7=-7

-2+4*1=2

2=2

Вас заинтересует