• Предмет: Математика
  • Автор: ulpot2006
  • Вопрос задан 8 лет назад

Помогите пж решающая оценка для меня!!!

Приложения:

Ответы

Ответ дал: sarsenova20048
0

Ответ:9x-6x=-14-7

3x=-21

X=-7

Ответ дал: fedorcom65
0

Пошаговое объяснение:

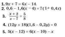
1) 9x+7 = 6x-14

9x-6x = -14-7

3x = -21

x = -7

2) 0,6-1,6(x-4) = 7(1+0,4x)

0,6-1,6x+6,4 = 7+2,8x

-1,6x-2,8x = 7-0,6-6,4

-4,4x = 0

x = 0

3) x+2/x-7 = 5/8

8(x+2) = 5(x-7)

8x+16 = 5x-35

8x-5x = -35-16

3x = -51

x = -17

4) (12y+18)(1,6-0,2y) = 0

12y+18 = 0     Или     1,6-0,2y = 0

y = -18/12                   y = -1,6/-0,2

y = -1,5                       y = 8

Ответ: y1 = -1,5, а y2 = 8

5) 5(x-12) = 6(x-10)-x

5x-60 = 6x-60-x

5x-6x+x = -60+60

0x = 0

Ответ: x - Любое число

Вас заинтересует