• Предмет: Математика
  • Автор: Zuscool
  • Вопрос задан 8 лет назад

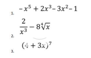
Найдите производную функцию с подробным решением.
Спасибо

Приложения:

Ответа на этот вопрос пока нет. Попробуйте найти его через форму поиска.

Вас заинтересует