• Предмет: Алгебра
  • Автор: stillalive04oz1zw8
  • Вопрос задан 8 лет назад

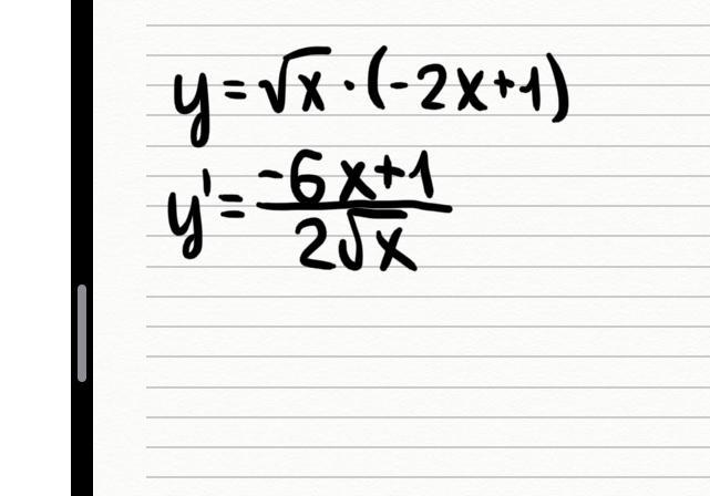
y = корень из x (-2x+1) найти производную

Ответы

Ответ дал: itachiackerman
0
Привет, решение во вложении. Пожалуйста, не забудь потом отметить мой ответ как лучший ;)
Приложения:
Вас заинтересует