• Предмет: Алгебра
  • Автор: Аноним
  • Вопрос задан 8 лет назад

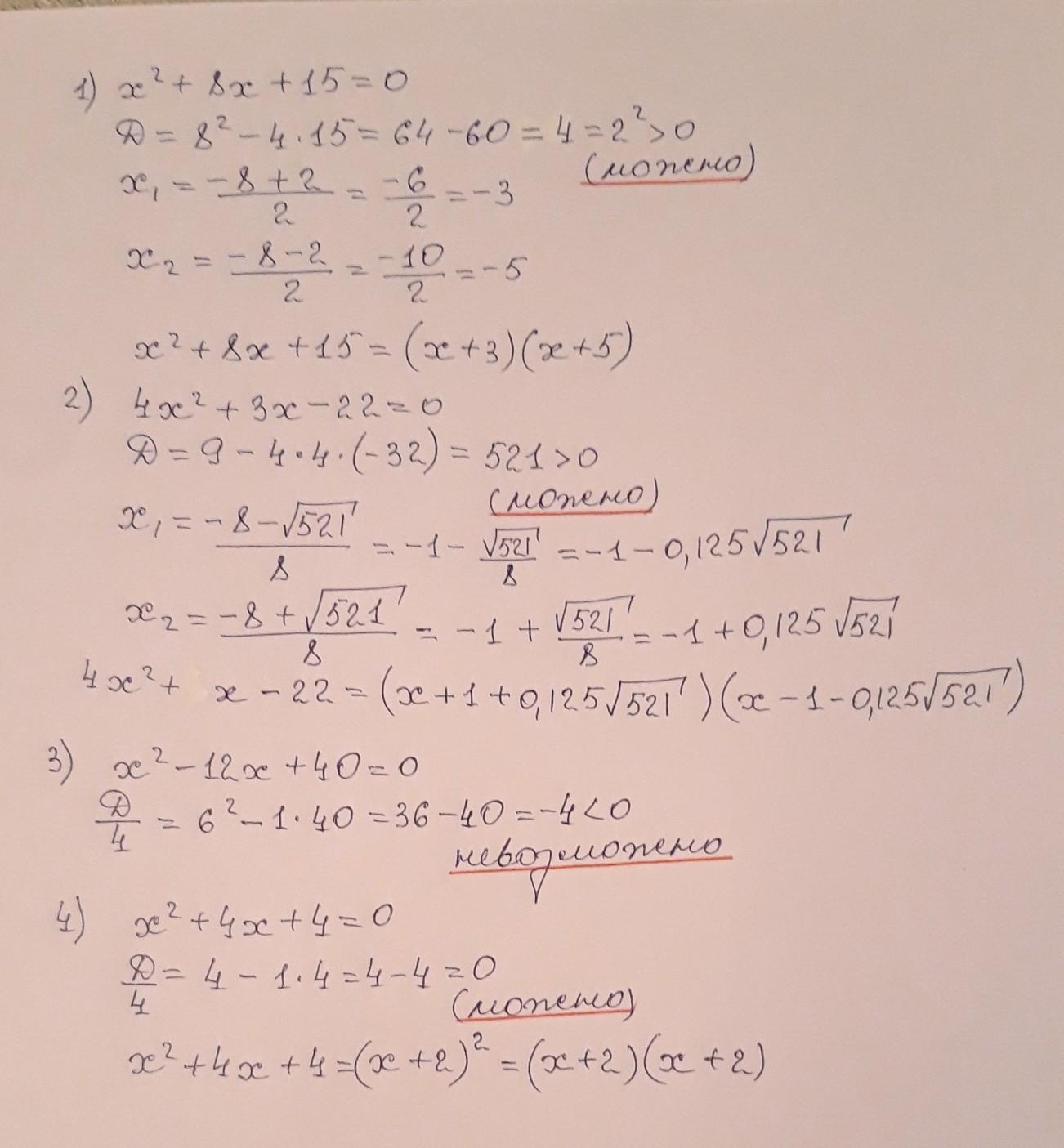
Помогите срочно очень срочно срочно очень срочно помогите пожалуйста

Приложения:

Ответы

Ответ дал: AntonioEf
0

Ответ:

3 строка является ответом

Ответ дал: sharofat0
0

Ответ:

Третий сверху кв. трехчлен невозможно разложить на множители, т.к. Д<0 .

Приложения:
Вас заинтересует