• Предмет: Алгебра
  • Автор: 54734
  • Вопрос задан 8 лет назад

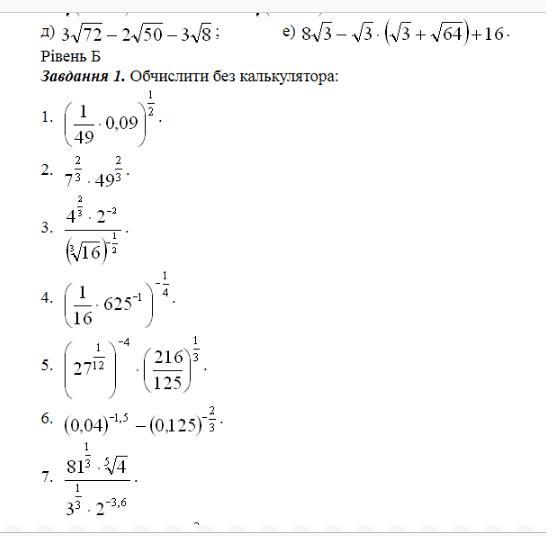
Ірраціональні вирази,розв*яжіть будь-ласка !

Приложения:

Ответа на этот вопрос пока нет. Попробуйте найти его через форму поиска.

Вас заинтересует