• Предмет: Математика
  • Автор: nikolytskiu
  • Вопрос задан 8 лет назад

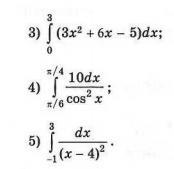
ЫЧИСЛИТЕ ИНТЕГРАЛ задане во вложении
Помогите вычислить интеграл задане во вложении

Приложения:

Ответа на этот вопрос пока нет. Попробуйте найти его через форму поиска.

Вас заинтересует