• Предмет: Алгебра
  • Автор: uzbekuzbekin7
  • Вопрос задан 8 лет назад

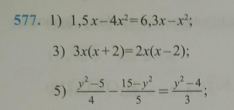
Пж срочно решить уравнения
Даю 50 баллов. Помогите​

Приложения:

Ответы

Ответ дал: itachiackerman
0
Привет, решение во вложении. Пожалуйста, не забудь потом отметить мой ответ как лучший :)
Приложения:
Вас заинтересует