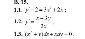
!!!!!!!МНОГО БАЛЛОВ ПРОШУ ПОМОГИТЕ!!!!! Проинтегрировать дифференциальное уравнение, предварительно определив его вид.
Приложения:

Ответа на этот вопрос пока нет. Попробуйте найти его через форму поиска.
Вас заинтересует
2 года назад
2 года назад
3 года назад
3 года назад
8 лет назад
8 лет назад
9 лет назад