• Предмет: Геометрия
  • Автор: Аноним
  • Вопрос задан 8 лет назад

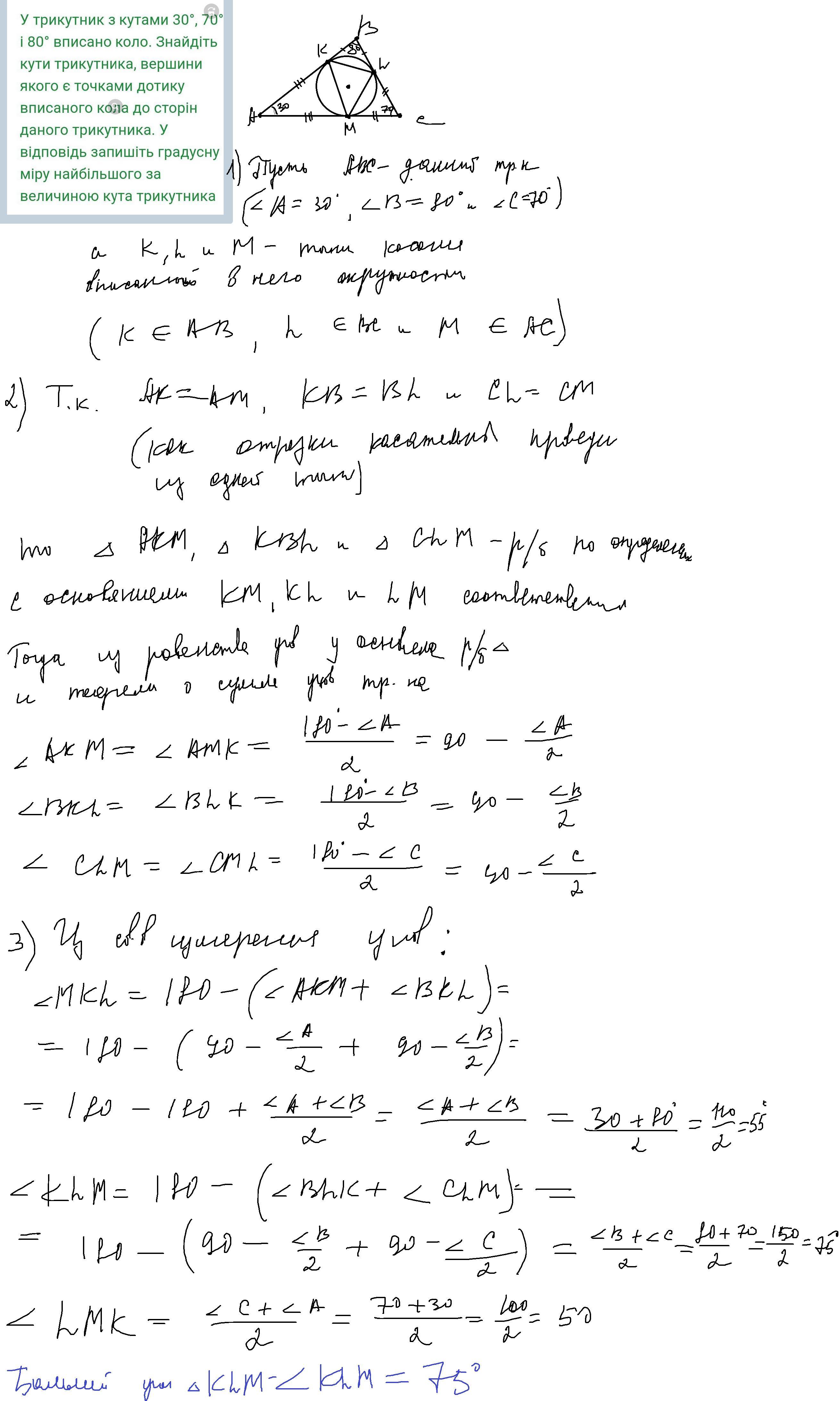
Мои дорогие, геометрия ( всё на скрине, 1 задание ) НУЖНО НОРМАЛЬНО ЗАДАЧУ РОСПИСАТЬ!!!!

Приложения:

Ответы

Ответ дал: vikll
0

Ответ:

Объяснение: НУЖНО НОРМАЛЬНО ЗАДАЧУ

Приложения:
Вас заинтересует