Помогите пожалуйста по математике (алгебра) срочно надо умоляю
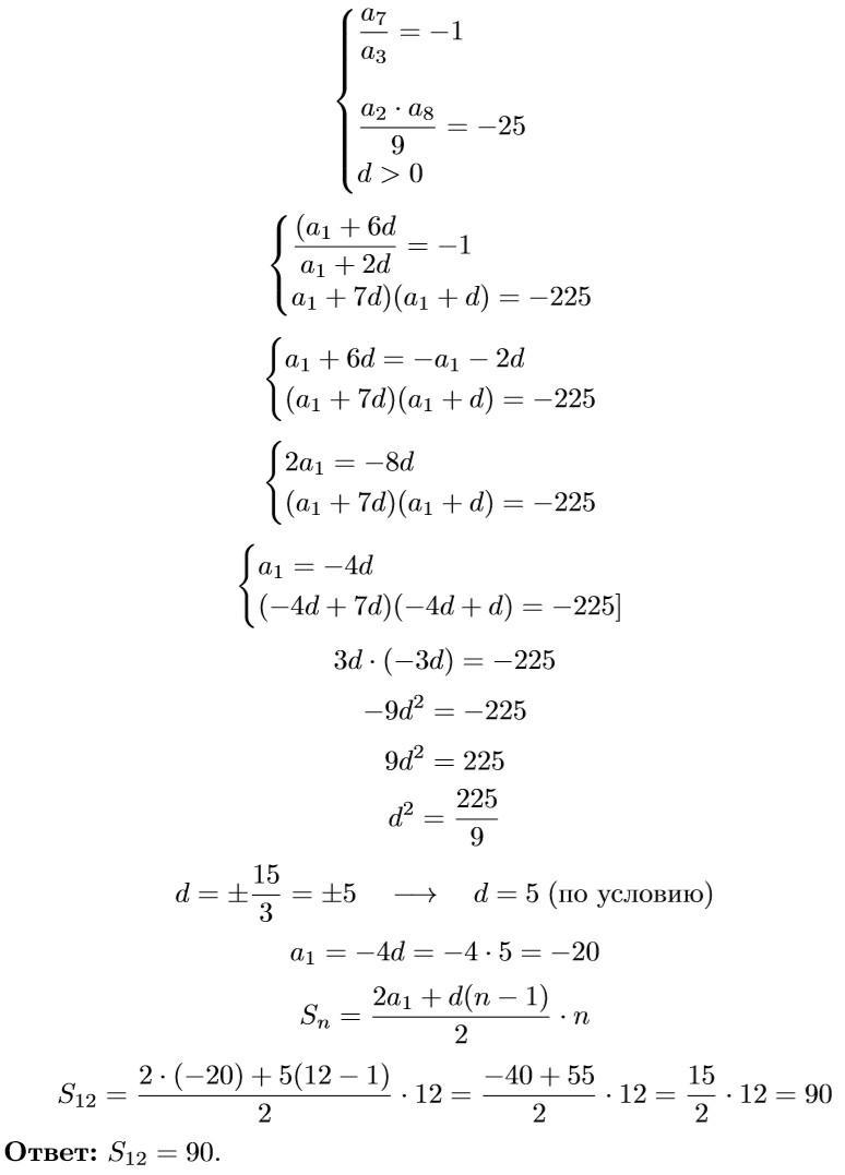
найдите сумму первых 12-ти членов арифметческой прогресии (аn) , если а7/а3 =-1 , а2 * а8/ 9 = -25 , d > 0
Ответы
Ответ дал:
0
Если возникнут какие-либо вопросы — задавайте. Если мой ответ оказался полезен, нажимайте «спасибо» и отмечайте его как «лучший ответ».
Приложения:

Вас заинтересует
2 года назад
3 года назад
3 года назад
9 лет назад