• Предмет: Алгебра
  • Автор: ELYAgn
  • Вопрос задан 8 лет назад

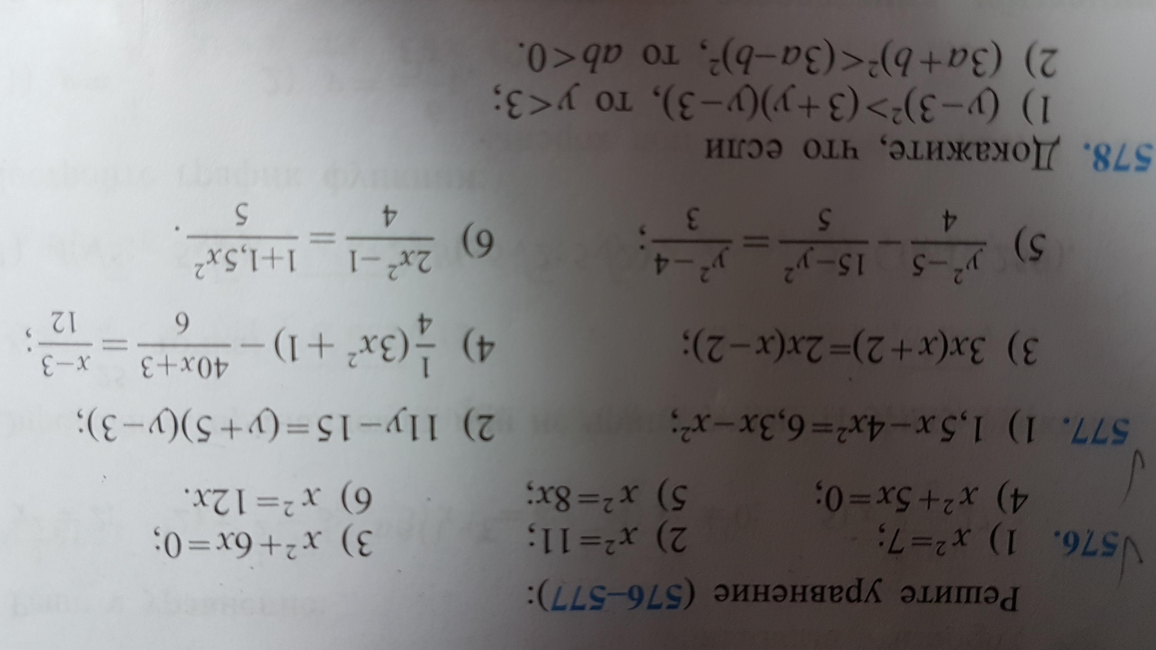
Помогитееее.... дам 20 баллов
Номер 577)) заранее спасибо большое

Приложения:

Ответы

Ответ дал: elizavetawagan
0

Это первое...........

Приложения:
Ответ дал: lilyfedorova2
0

Ответ:смотри фото

Объяснение:

Приложения:
Вас заинтересует