• Предмет: Математика
  • Автор: MAXR3DIOO
  • Вопрос задан 8 лет назад

Помогите пж с дз по Алгебре. Заранее спасибо.

Приложения:

Ответы

Ответ дал: dmasya
0

Ответ:

Пошаговое объяснение:

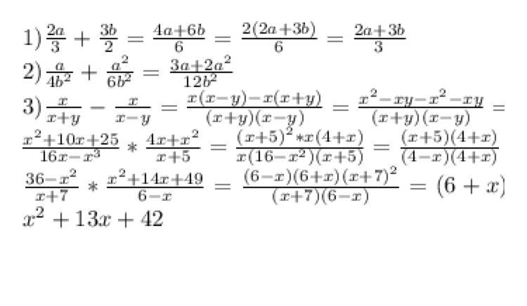
1)frac{2a}{3} +frac{3b}{2} =frac{4a+6b}{6} =frac{2(2a+3b)}{6} =frac{2a+3b}{3} \2)frac{a}{4b^2}+ frac{a^2}{6b^2} =frac{3a+2a^2}{12b^2}\3)frac{x}{x+y} -frac{x}{x-y} =frac{x(x-y)-x(x+y)}{(x+y)(x-y)} =frac{x^2-xy-x^2-xy}{(x+y)(x-y)} =frac{-2xy}{(x+y)(x-y)} =frac{-2xy}{x^2-y^2}frac{x^2+10x+25}{16x-x^3} *frac{4x+x^2}{x+5}=frac{(x+5)^2*x(4+x)}{x(16-x^2)(x+5)}  =frac{(x+5)(4+x)}{(4-x)(4+x)} =frac{x+5}{4-x} \frac{36-x^2}{x+7}* frac{x^2+14x+49}{6-x}=frac{(6-x)(6+x)(x+7)^2}{(x+7)(6-x)}  =(6+x)(x+7)=6x+42+x^2+7x=x^2+13x+42

Ответ дал: panenkovaevelina
0
...................наверно
Приложения:
Вас заинтересует