• Предмет: Алгебра
  • Автор: ri09eriow
  • Вопрос задан 8 лет назад

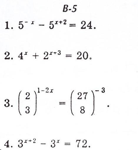
ПОМОГИТЕ С ПОКАЗАТЕЛЬНЫМИ УРАВНЕНИЯМИ, ПОЖАЛУЙСТА

Приложения:

Ответы

Ответ дал: d639762
0

Ответ:

1.х= -2

2.х= 1

3.х= -4

4. х= 2

Ответ дал: d639762
0
скачайте Photomath , эсли вам нужно подробное решение)
Вас заинтересует