• Предмет: Математика
  • Автор: thrhset
  • Вопрос задан 8 лет назад

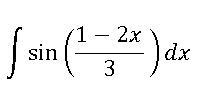
Вычислите неопределенный интеграл способом подстановки (методом замены переменной).

Приложения:

Ответы

Ответ дал: Zadrotmega2017
0

РЕШЕНИЕ НА ФОТО

Надеюсь помог)))

Приложения:
Вас заинтересует