• Предмет: Алгебра
  • Автор: vametal314
  • Вопрос задан 8 лет назад

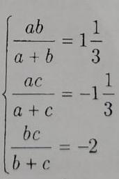
Помогите решить
нужно найти: a-b+c

Приложения:

Ответа на этот вопрос пока нет. Попробуйте найти его через форму поиска.

Вас заинтересует