• Предмет: Алгебра
  • Автор: rosomaxa206
  • Вопрос задан 8 лет назад

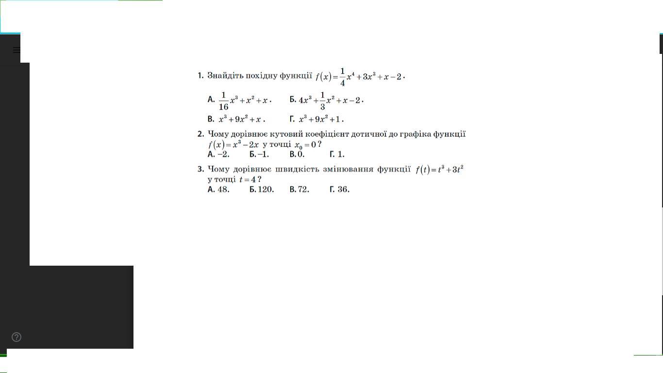
Помогите срочно надо очень сильно ваш прошу

Приложения:

Ответа на этот вопрос пока нет. Попробуйте найти его через форму поиска.

Вас заинтересует