• Предмет: Алгебра
  • Автор: ermilus07
  • Вопрос задан 8 лет назад

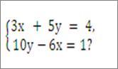
Имеет ли решение система уравнений и сколько


Приложения:

Ответы

Ответ дал: mikkave
0

Ответ:

3х + 5у = 4,   5у = 4-3х    | : 5

10у -6х = 1;    10у = 1 + 6х | : 10

у = 0,8 - 0,6х

у = 0,1 + 0,6х

Ответ: У такой системы нет решений

Объяснение:

Вас заинтересует