• Предмет: Математика
  • Автор: oleggerman08
  • Вопрос задан 8 лет назад

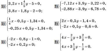
ДАЮ 30 БАЛЛОВ!!! ПОМОГИТЕ ПО МАТЕМАТИКЕ

Приложения:

Ответы

Ответ дал: Sharpikday
0

Ответ:30

Пошаговое объяснение:

Ответ дал: leussonia
0
Решение первого. Вообще, это все очень легко решается. Нужно вывести х или у и уже потом подставлять в выражение.
Приложения:
Вас заинтересует