Ответы
Ответ дал:
0
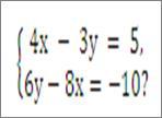
|4х-3у=5
|
|6у-8х=-10
|х=5/4+3/4у
|
|6у-8х=-10
Ответ:
6у-8(5/4+3/4у)=-10 или уЭR
значит система имеет 2 решения.
|
|6у-8х=-10
|х=5/4+3/4у
|
|6у-8х=-10
Ответ:
6у-8(5/4+3/4у)=-10 или уЭR
значит система имеет 2 решения.
Вас заинтересует
2 года назад
2 года назад
3 года назад
3 года назад
9 лет назад
9 лет назад
10 лет назад